Значение заземления нейтрали для обеспечения электробезопасностиПри выборе режима нейтрали электрической сети учитывают:
— ЭБ и возможные защитные меры;
— надежность электроснабжения, имея в виду возможность продолжения работы ЭУ при аварийном замыкании на землю;
— экономический фактор, определяемый в значительной мере расходами на изоляцию ЭО.
Стремление снизить опасность замыкания на землю, стабилизировать и уменьшить в этом аварийном режиме напряжение фазных проводов относительно земли привели в ряде стран и частично в России к решению заземлять нулевую точку источника тока.
Основанием к этому послужили следующие рассуждения.
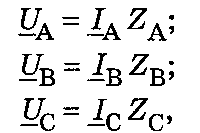
1. При рабочем режиме сети£А = ZB = ZC напряжение фазных проводов относительно земли при заземленной нейтрали, так же как и при изолированной, равно фазному напряжению. Данное утверждение вытекает из закона Кирхгофа. В этом случае:



где UA; UB; Uc — векторы напряжений фазных проводов относительно земли; -А -В -С — векторы фазных токов утечки; ZA; ZB; Zq — полные комплексные сопротивления фаз относительно земли. Если в сети произошло короткое замыкание на землю фазы С, а человек прикоснулся к фазе В (так как Д0, как правило, очень мало, то можно принять Д0 = 0), тогда из эквивалентной схемы (рис. 1.26) видно, что Uq = J3Rq = 0 и, следовательно, напряжение относительно земли в точке замыкания на землю а напряжение, приложенное к телу человека.
Таким образом, в сетях с заземленной нейтралью человек, прикоснувшийся к исправной фазе, оказывается под фазным напряжением, а не под линейным UR = л/зС/ф. В сетях с изолированной нейтралью человек оказался бы под линейным напряжением.
Предыдущая страница | Содержание | Следующая страница |